Mahsulotlar
mahsulot tavsifi
Absolyut: absolyut betonni spirt bilan ekstraksiya qilish orqali taxminan 55 to 60% unum bilan tayyorlanadi. Absolyut o'ziga xos ambra hidiga ega yarim qattiq, zaytun-yashil massadan iborat.
Kimyoviy xususiyatlar
Xavfsizlik ma'lumotlari
Mahsulot qo'llanilishi
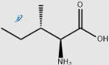
L-Izoleytsin mushak metabolizmi, immun funksiyasi va gemoglobin sintezida muhim rol o'ynaydigan muhim tarmoqlangan zanjirli aminokislota (BCAA) hisoblanadi. Sport ovqatlanishi sanoatida u BCAA formulalarining asosiy tarkibiy qismi bo'lib, leytsin va valin bilan sinergik tarzda ishlab, kuchli mashqdan keyin mushaklarning tiklanishini rag'batlantiradi va mushaklarning parchalanishini oldini oladi. Farmatsevtika sektori yuqori tozalikdagi L-Izoleytsinni parenteral va enteral ovqatlantirish infuziyalarida muhim tarkibiy modda sifatida qo'llaydi, jarohat yoki operatsiyadan keyin tiklanayotgan bemorlar uchun zarur metabolik yordamni ta'minlaydi. Oziq-ovqat ilmida u maxsus parhezlarda oziqlantiruvchi boyituvchi va ta'm kuchaytiruvchi sifatida ishlatiladi. Bundan tashqari, u maxsus peptidlar va sirt faol moddalar sintezida yuqori qiymatli kimyoviy oraliq modda bo'lib xizmat qiladi. Hayvonlar uchun yem sanoatida u chorva ratsionidagi aminokislota profilini optimallashtirish uchun, sog'lom o'sish va yemning samarali konversiyasini ta'minlash maqsadida tobora ko'proq qo'llanilmoqda.
Zavod ko'rgazmasi
Sifat nazorati laboratoriyasi
Yuk tashish va transport
Yetkazib berish muddati
Zaxira 2-3 ish kuni Yangi ishlab chiqarish 7-10 ish kuni
Transport usuli
1. Havo orqali, tez, lekin qimmat.
2. Dengiz orqali, odatiy va iqtisodiy.
3. Poyezd orqali, O'rta Osiyo mamlakatlari uchun mos.
4. Express orqali, kichik paketlar uchun mos.
Biz faqat eng yuqori sifatli mahsulotlarni taklif qilamiz, shu bilan birga yordam ham ko'rsatamiz!
FAQ
S:Narxlaringiz qanday?
J:Biz zavod bo'lganimiz sababli narxlarimiz juda raqobatbardosh. Mahsulotlarimizga qiziqsangiz, biz bilan bog'laning.
S:Zavodingizga tashrif buyurishim mumkinmi?
J:Albatta, biz butun dunyo mijozlarini zavodimizga tashrif buyurishlarini kutib qolamiz.
S:Yetkazib berish muddati qanday?
J:Sizning talabingizni tasdiqlaganimizdan keyin 3-15 kun ichida.
S:To'lov shartlaringiz qanday?
J:T/T, Naqd pul, Western Union qabul qilinadi, agar sizda boshqa to'lov usuli bo'lsa, iltimos, men bilan bog'laning.
S: Namunalar berasizmi?
J:Ha, biz sizga sinash uchun namuna taklif qilishimiz mumkin, lekin iltimos, yuk tashish haqini to'lang.
Biz bilan bog'laning
Tavsiya


